Tentukan luas daerah yang diarsir berikut. Contoh soal dan pembahasan tentang metode subtitusi pada integral.
Aplikasi Integral Mencari Luas Daerah Dibatasi Kurva Idschool
Contoh soal integral luas daerah dan penyelesaiannya. Contoh soal dan pembahasan tentang luas daerah dengan integral. Tentukan luas yang dibatasi oleh garis y x 2 dan y x 2. Setelah sebelumnya kita membahas lengkap materi integral kali ini kita akan membahas contoh soal integral dengan menggunakan sifat sifat integral tentu dan tak tentusimak soal dan pembahasan berikut untuk meningkatkan pemahamanmu mengenai cara penyelesaian soal soal integral. Pertama yang perlu dikerjakan adalah melihat daerah yang dibatasi kurva dengan menggambarkan sketsanya seperti gambar berikut ini. Contoh soal 4. Contoh soal dan pembahasan tentang integral trigonometri.
Contoh soal dan pembahasan tentang volume benda putar dengan integral. Dari integral di atas terlihat bahwa bentuk tersebut sulit untuk ditentukan penyelesaiannya. Demikianlah pembahasan mengenai contoh soal integral tentu tak tentu substitusi parsial dan rumus semoga dengan adanya ulasan tersebut dapat menambah wawasan dan pengetahuan kalian semua terima kasih banyak atas kunjungannya. Menentukan luas daerah yang terletak di antara dua kurva. Pada bagian yang diarsir kurva fx lebih di atas dibandingkan dengan. Contoh soal tabel distribusi frekuensi dan pembahasanya 2823 contoh soal kombinasi dan pembahasan 2727 pembahasan soal utbk 2019 tps kemampuan penalaran 2464 contoh soal sudut sehadap berseberangan sepihak 2277 contoh soal luas segitiga trigonometri dan penyelesaiannya 1987 contoh soal torsi dan penyelesaiannya 1719.
Luas daerah yang diarsir adalah jawab. Integral merupakan cabang ilmu matematika yang memiliki tingkat kesulitan cukup tinggi. Menentukan luas daerah yang terletak dibatasi kurva y fx dan sumbu x. Contoh soal dan pembahasan tentang integral. Berdasarkan pengertian otu ada dua hal yang dilakukan dalam integral hingga dikategorikan menjadi 2 jenis integral. Integral merupakan bentuk pada operasi matematika yang menjadi kebalikan atau disebut invers dari operasi turunan dan limit dari jumlah ataupun suatu luas daerah tertentu.
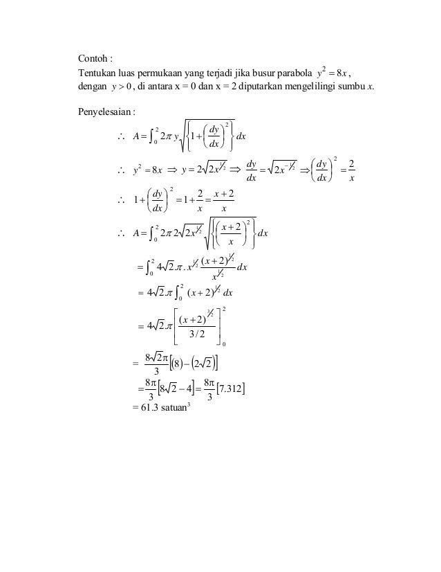
Contoh soal dan pembahasan integral tak tentu integral tentu kalkulus 2. Pembahasan soal soal ujian nasional un bidang studi matematika sma ipa dengan materi pembahasan luas daerah aplikasi integral dibatasi kurva garis dan sumbu x parabol sigmoid atau x pangkat 3. Contoh soal 3. Misalkan persamaan garis kita tulis menjadi fx 2x 17 dan parabola menjadi gx x 2 25. Memahami dengan mudah integral lipat dua. Yaitu untuk menentukan luas suatu daerah dan volume benda putar jika suatu daerah diputar mengelilingi sumbu tertentu.
Menghitung volume benda putar. Berikut ini akan diberikan contoh soal dan pembahasan tentang menentukan luas daerah yang dibatasi dua buah kurva. Pelajari rangkuman materi integral dilengkapi dengan contoh soal integral beserta pembahasan jawaban lengkap dari soal un dan sbmptn untuk kelas 11.












.jpg)




