Bagi anda yang ingin membuat surat ini anda harus memperhatikan mengenai beberapa ketentuan yang ada seperti diksi bahasa yang digunakan maupun juga format. Padahal pada umumnya berita acara ini sangat penting sekali untuk anda pada saat ingin bekerjasama dengan orang lain baik itu secara individu ataupun kelompok.
Contoh Berita Acara Kesepakatan Warga Kerkosi
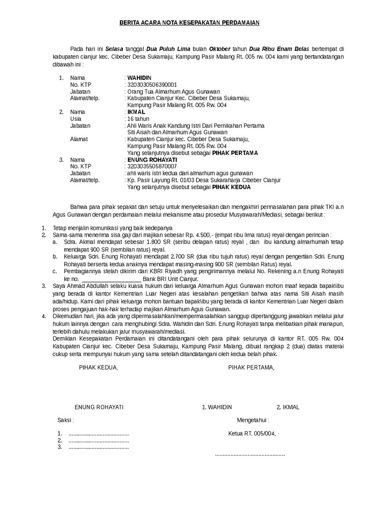
Contoh berita acara kesepakatan. Contoh berita acara dalam berbagai keperluan berita acara adalah naskah dalam mengesahkan suatu kejadian yang bersifat resmi atau dinas baik itu dalam peristiwa perubahan status dan lain lain bagi suatu permasalahan baik berupa perencanaan pelaksanaan maupun pengendalian kebijaksanaan pimpinan. Tempelet berita acara kesepakatan penggunaan dana bos. Contoh draft sk tim manajemen bos. Contoh berita acara berita acara adalah sebuah naskah dinas atau surat yang di dalamnya memuat pernyataan pengesahan tentang suatu kegiatan rapat kehilangan kerusakan dan serah terima barang penyelesaian pekerjaan kejadian peristiwa perubahan status dll. Contoh berita acara ini sangat dibutuhkan bagi mereka yang merasa kesulitan untuk membuatnya atau bahkan belum mengerti apa itu berita acara. Pada hari ini selasa tanggal 13 bulan 12 tahun 2011 bertempat di kantor kelurahan baru telah diadakan rapatmusyawarah berkaitan dengan pemanfaatan dan kepemilikan saluran got di sepanjang ganglorong yang berlokasi di rtrw 001001 lingk.
Itulah mengenai contoh surat kesepakatan bersama yang dapat dijadikan referensi untuk menulis surat kesepakatan bersama yang baik. Contoh permohonan pencairan hibah 2012. Contoh surat perintah tugas. Tenang kita akan memberikan beberapa contoh berita acara yang bisa di jadikan bukti otentik suatu kegiatan. Contoh berita acara kesepakatan penggunaan dana bos. Sehingga membuat kamu pusing tuju keliling.
Tapi diharuskan menunjukkan bukti otentik dari setiap kegiatan di luar kantor oleh si bos. Bagi anda yang saat ini mau melakukan aktivitas di dunia bisnis tidak salahnya jika anda membaca artikel yang akan kami bahas dikesempatan ini. Contoh berita acara kesepakatan bersama penambahan dana posted by unknown on wednesday february 04 2015 pemerintah kabupaten bombana kecamatan kabaena tengah desa enano berita acara kesepakatan bersama tanbahan dana enano kec. Surat pernyataan jumlah siswa. Fb twitter wa line pinterest g linkedin. Surat kesepakatan bersama bukan hanya biasanya dibuat oleh perusahaan melainkan juga biasanya dibuat oleh seseorang yang berkeinginan untuk melakukan perjanjian atau kesepakatan kerjasama demi mencapai keuntungan dan tujuan bersama.
Baik peristiwa seminar kepemilikan hingga jual beli suatu barang. Bagi suatu permasalahan masalah baik berupa pelaksanaan perencanaan ataupun pengendalian kebijaksaan pimpinan. Instrumen monev bos 2014. Contoh berita acara susah membuat berita acara. Berita acara kesepakatan bersama. Kesepakatan hak asuh kesepakatan hutang kesepakatan pembagian hadiah surat kesepakatan bersama surat pernyataan.
Format berita acara validasi laporan jumlah siswa.











.jpeg)



