Penilaian otentik yang dimaksud dalam kurikulum 2013 meliputi kombinasi berbagai jenis penilaian yaitu. Penilaian sikap dan kinerjaketerampilan siswa melalui pengamatan penilaian diri.
Instrumen Penilaian Praktikum Kimia Dan Estimasi Reliabilitasnya
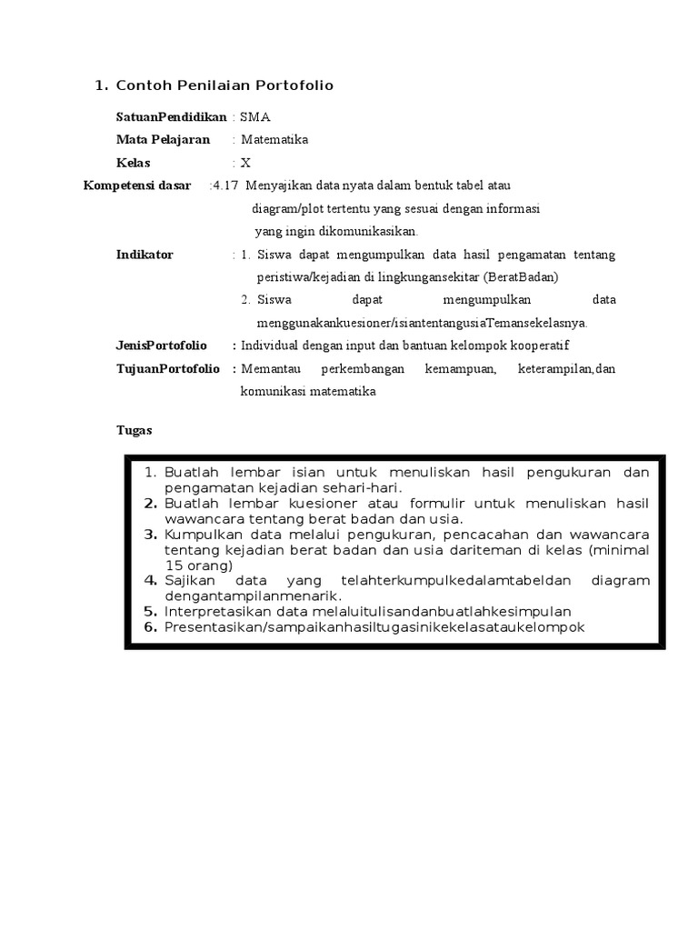
Contoh instrumen penilaian keterampilan matematika. Lembar kerja 4 instrumen penilaian sikap pengetahuan dan ketrampilan penentuan teknik dan bentuk penilaian mata pelajaran. Contoh instrumen beserta rubrik penilaian. Oleh karena itu keliru apabila tes hasil belajar matematika dikatakan satu satunya instrumen penilaian hasil belajar matematika. Dalam makalah ini pembahasan dipilahkan berdasarkan pengelompokan tes dan non tes. Teknik dan bentuk instrumen penilaian kompetensi keterampilan menyikapi pembelajaran yang berbasis pada kurikulum 2013 ini anda sebagai pendidik harus sudah benar benar mengetahui tata cara penilaian peserta didik sesuai dengan aturan kurikulum 2013 pada kesempatan kali ini volimaniak akan berbagi sedikit pengetahuan mengenai teknik dan bentuk instrumen penilaian komptensi ketrampilan. Penilaian ranah sikap contoh penilaian sikap melalui observasi tabel 19.
Peserta diklat dan fasilitator mem buat rangkuman. Hasil penilaian dengan teknik praktik dan proyek dirata rata untuk memperoleh nilai akhir keterampilan pada setiap mata pelajaran. Penilaian psikomotor berguna untuk mengukur keterampilan siswa melakukan kinerja tertentu. Teknik penskoran untuk penilaian ranah afektif dapat dilakukan secara sederhana. Penilaian hasil belajar matematika sma. Penilaian psikomotor dapat berupa penilaian tertulis penilaian identifikasi penilaian simulasi dan penilaian contoh kerja.
Teknik dan instrumen penilaian. Ranah kompetensi teknik penilaian bentuk penilaian 1. Secara pleno peserta diklat melaporkan mempresentasikan butir instrumen yang dihasilkan. Secara kelompok peserta diklat menyusun contoh butir instrumen penilaian hasil belajar matematika 4. Pengolahan hasil penilaian keterampilan nilai keterampilan diperoleh dari hasil penilaian praktik produk proyek dan portofolio. Dalam kegiatan penilaian psikomotor pengamatan berperan pada saat penilaian yang tidak tertulis.
Berikut adalah contoh instrumen penilaian projek. Contoh pada instrumen penilaian minat siswa terhadap suatu materi pelajaran terdapat 10 item berarti ada 10 indikator maka bila skala yang digunakan adalah skala likert 1 sampai 5 berarti skor terendah yang mungkin diperoleh seorang siswa adalah 10 dari 10 item x 1 dan skor paling tinggiyang mungkin. Peserta diklat merevisi contoh butir instrumen berdasar masaukan saat presentasi 1. Pada bagian ini disajikan 3 contoh bentuk penilaian tes praktik projek dan portofolio untuk mata pelajaran ipa dan prakaryadengan melihat contoh contoh ini diharapkan guru mampu menyusun sendiri instrumen penilaian yang sesuai dengan indikator dari tiap tiap kd mata pelajaran yang mereka kembangkan. Dari berbagai bentuk instrumen tersebut ada yang mengelompok kan menjadi dua kelompok besar yakni tes dan non tes. Contoh rubrik dan lembar penilaian sikap pengetahuan dan keterampilan silahkan klik disini.
Untuk selengkapnya kami akan memberikan contoh rubrik dan lembar penilaian sikap pengetahuan dan keterampilan dibawah ini. Instrumen penilaian ranah.












