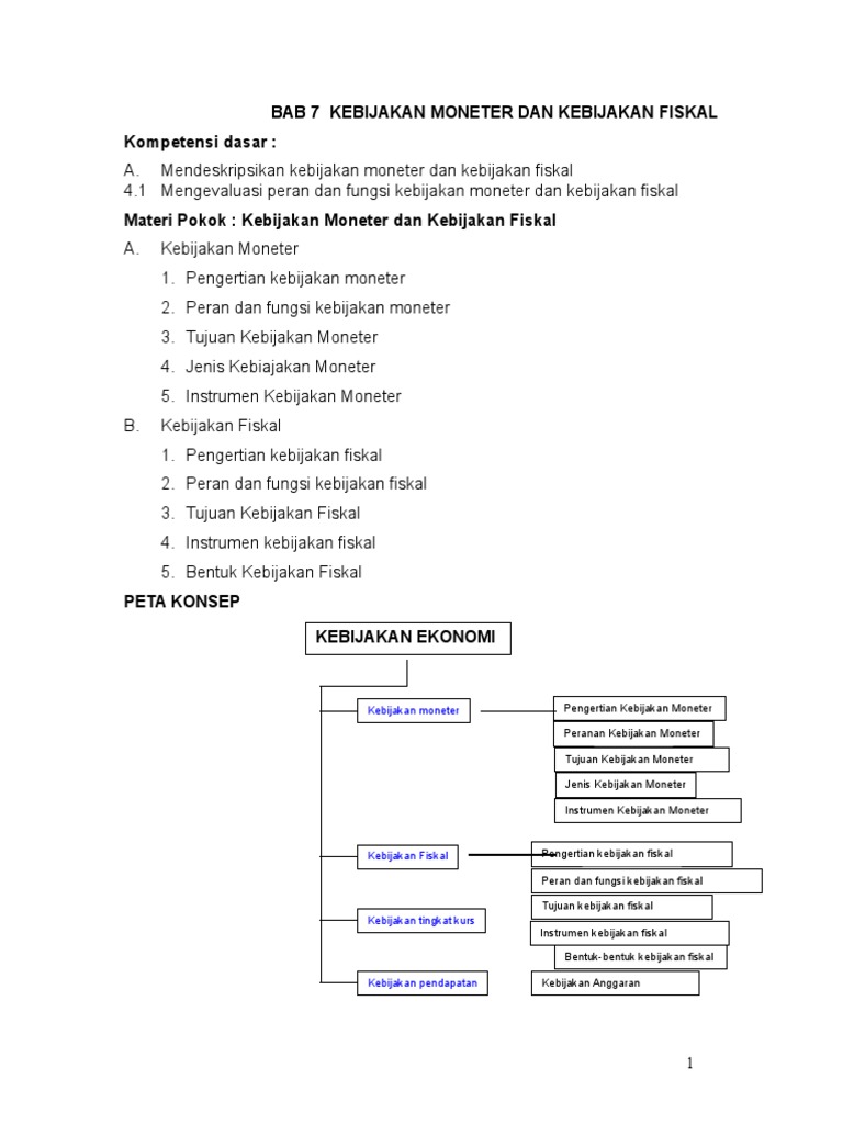
Kebijakan moneter pada dasarnya merupakan suatu kebijakan yang bertujuan untuk mencapai keseimbangan internal pertumbuhan ekonomi yang tinggi stabilitas harga pemerataan pembangunan dan keseimbangan eksternal keseimbangan neraca pembayaran serta tercapainya tujuan ekonomi makro yakni menjaga stabilisasi ekonomi yang dapat diukur dengan kesempatan kerja. Setelah kamu mengetahui kebijakan fiskal maka pembahasan kali ini akan membahas tentang pengertian kebijakan moneter contoh kebijakan moneter fungsi kebijakan moneter tujuan kebijakan moneter dan peran pemerintah dalam kebjakan moneter.
Trinitas Mustahil Wikipedia Bahasa Indonesia Ensiklopedia
Contoh kasus kebijakan moneter. Posting pada ekonomi ips ditag 10 macam macam kebijakan moneter 5 fenomena ekonomi moneter 7 day reverse repo rate adalah apa yang dimaksud kebijakan fiskal apakah tujuan kebijakan moneter artikel kebijakan fiskal bank indonesia kurs buku ekonomi moneter islam cara kerja kebijakan moneter contoh ekonomi moneter contoh kasus kebijakan. Kebijakan moneter adalah suatu kebijakan dari otoritas moneter. Kebijakan moneter merupakan kebijakan dalam upaya mengendalikan perekonomian negara secara makro untuk mencapai perekonomian yang lebih baik dengan cara mengatur jumlah uang yang beredar. Kebijakan moneter pada dasarnya adalah suatu kebijakan yang berlandasan untuk mencapai pada keseimbangan internal pertumbuhan ekonomi yang lebih tinggi stabilitas harga pemerataan pembangunan dan keseimbangan eksternal keseimbangan neraca pembayaran serta pencapaian pada tujuan ekonomi makro yaitu menjaga stabilisasi ekonomi yang bisa diukur dengan kesempatan kerja kestabilan harga. Materi dan makalah kebijakan fiskal dan moneter pdf. Kebijakan moneter adalah kebijakan yang dilakukan oleh otoritas moneter bank sentral untuk mempengaruhi kegiatan ekonomi melalui pengawasan uang beredar atau suku bunga atau kombinasi keduanya usaha tersebut dilakukan agar terjadi kesetabilan harga dan inflasi serta terjadinya peningkatan output keseimbangan.
Oleh karenanya kali ini kita akan mengupas secara lengkap dan jelas tentang pengertian macam dan contoh kebijakan fiskal dan moneter. Perekonomian yang baik sendiri dapat dilihat dari kestabilan harga melalui tingkat inflasi yang terkontrol. Mempelajari tentang perbedaan kebijakan fiskal dan moneter penting bagi kita karena nantinya akan sering kita dengarkan istilah istilah tersebut terutama bagi kamu yang mau mengambil jurusan ekonomi. Pengertian macam jenis tujuan peran instrumen contoh serta perbedaan kebijakan fiskal dan moneter lengkap kebijakan fiskal adalah salah satu kebijakan ekonomi yang dibuat oleh pemerintah.

















