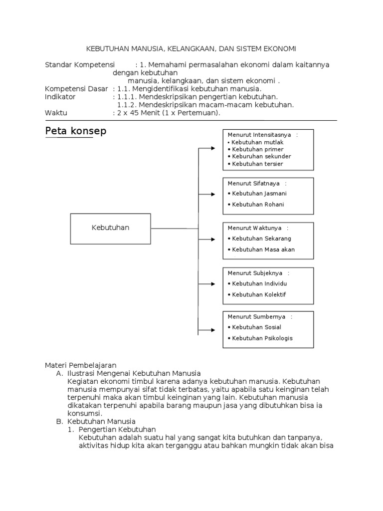
Dalam hal ini seperti kita ketahui sebagai manusia kita pastinya memiliki berbagai kebutuhan untuk dapat menjalani kehidupan kita ini. Jika salah satu dari kebutuhan ini ada yang tidak terpenuhi maka akan menyebabkan sebuah masalah dalam keberlangsungan hidup manusia itu sendiri.
Mengenal Macam Macam Kebutuhan Manusia Dan Contohnya Dalam
Contoh kebutuhan jasmani dan rohani. Kebutuhan jasmani dan kebutuhan rohani merupakan dua jenis kebutuhan pokok manusia yang harus dipenuhi oleh setiap individu. Jika kebutuhan terhadap kebutuhan ini tidak terpenuhi maka dapat menyebabkan masalah dalam kelangsungan hidup manusia. Jika kebutuhan ini tidak terpenuhi maka dapat menyebabkan masalah dalam kelangsungan hidup manusia itu sendiri. Kebutuhan dan keinginan setiap manusia tentunya berbeda beda. Kebutuhan jasmani dan kebutuhan rohani sangat penting untuk dipenuhi oleh setiap individu. Oleh dosen pendidikan 2 diposting pada 03062020 04062020.
Kebutuhan itu sendiri merupakan hal yang memang harus terpenuhi agar seseorang tetap bertahan hidup. Berikut ini adalah penjelasan mengenai kebutuhan jasmani dan rohani serta contoh dan dampak yang terjadi jika kebutuhan tersebut tidak. Contoh kebutuhan jasmani dan rohani. Kebutuhan jasmani dan kebutuhan rohani merupakan kebutuhan pokok manusia yang didasari dengan sifat kebutuhan tersebut. Kebutuhan jasmani dan kebutuhan rohani merupakan hal yang sangat penting untuk dipenuhi oleh semua orang. Contoh kebutuhan jasmani dan kebutuhan rohani kehidupan manusia tentunya berkaitan dengan kebutuhan dan keinginan.
Dari kedua unsur tersebut memiliki kebutuhan kebutuhan yang perlu untuk. Pengertian kebutuhan setiap manusia yang dilahirkan ke dunia ini mempunyai unsur jasmani dan rohani yang dilengkapi dengan perasaan akal dan naluri.

















