Berikut ini kami akan menyampaikan salah satu makalah askep yaitu contoh makalah askep asuhan keperawatan dengan gangguan sistem pernafasanmakalah askep ini berhubungan dengan tuberculosis tb paru paru. Insidensi tbc dilaporkan meningkat secara drastis pada dekade terakhir ini di seluruh dunia.
Asuhan Keperawatan Tbc Pdf Document
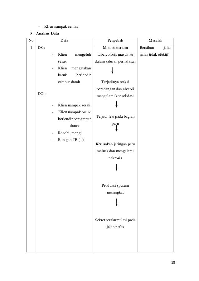
Contoh makalah askep tb paru. Gambaran klinik tb paru dapat dibagi menjadi 2 golongan gejala respiratorik dan gejala sistemik. Tuberkulosis tbc atau tb adalah suatu penyakit infeksi yang disebabkan oleh bakteri mikobakterium tuberkulosabakteri ini merupakan bakteri basil yang sangat kuatsehingga memerlukan waktu lama untuk mengobatinya. Asuhan keperawatan pada klien dengan tuberculosis. Laris cell semarang kirim ke. Askep klien dengan tuberkulosis tbc teori micobacterium tuberculosis tb telah menginfeksi sepertiga penduduk dunia menurut who sekitar 8 juta penduduk dunia diserang tb dengan kematian 3 juta orang per tahun who 1993. Penyakit ini dapat diderita oleh setiap orang tetapi paling sering menyerang orang orang yang berusia antara 15 35 tahun terutama mereka yang bertubuh lemah kurang gizi atau yang tinggal satu rumah dan berdesak desakan bersama penderita tbc.
Contoh makalah askep tb paru gangguan sistem pernafasan 2017. Kata pengantar puji syukur kami ucapkan atas kehadirat allah swt. Bakteri ini lebih sering menginfeksi organ paru paru dibandingkan bagian lain tubuh manusia. Sebelum menjelaskan dan memberikan contoh makalah askep akan lebih baik jika kita membeberkan terlebih dahulu apa sih itu askep tujuan asuhan keperawatan fungsi asuhan keperawatan dan. Download 1 download 2 format file doc docx microsoft word itulah contoh makalah askep tb paru gangguan sistem pernafasan 2017 dalam file doc docx. Makalah bidang askep baca juga.
Makalah askep tb paru askep tb paru mycobakterium tuberkculosis sistemis sehingga dapat mengenai semua organ tubuh dengan lokasi terbanyak di paru paru yang biasanya merupakan lokasi infeksi primer arif mansjoer 2000. 0852 0015 4999 0857 0878 5999. Penyakit tb paru masih menjadi masalah kesehatan masyarakat. Penyakit tb paru merupakan penyakit menahunkronis berlangsung lama dan menular. Center transaksi bisnis pulsa. Academiaedu is a platform for academics to share research papers.
Contoh askep jumat 10 oktober 2008. Anda bisa download melalui link di atas.















