2 x 35 menit. Yang bisa digunakan untuk melengkapi administarsi guru yang dapat di unduh secara gratis dengan menekan tombol download.
Rpp Kelas Rangkap Model 221 Kelas Rendah Guru Ilmu Sosial
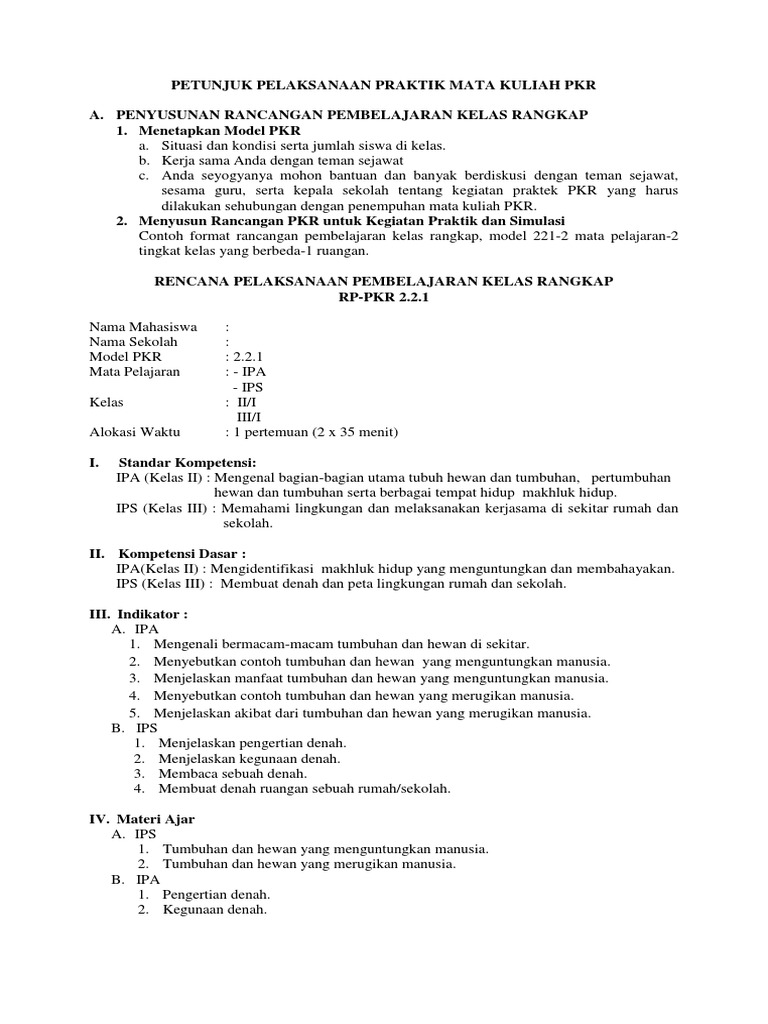
Contoh rpp kelas rangkap. Contoh rpp kelas rangkap model 221. Berikut ini adalah contoh. Iv i 2. Berikut ini adalah file tentang contoh rpp kelas rangkap kelas 3 dan 4 sd k13 yang bisa bapakibu unduh secara gratis dengan menekan tombol download pada tautan link di bawah ini. Contoh rpp kelas rangkap model 221. Kelas 2 ipa 1.
Sd negeri cermee 3. Kelas semester. Ipa kelas 5. Matematika kelas 4 2. Ipa kelas 2 semester 1 ips kelas 3 semester 1. Contoh rpp pembelajaran kelas rangkap 221docx.
Kumpulan rpp kurikulum 2013 dan ktsp. Pada mata kuliah pembelajaran kelas rangkap pdgk 4302 defi selfia anggraini. Rpp kelas rangkap mata pelajaran. Rencana pelaksanaan pembelajaran kelas rangkap. Upbjj ut jember. Rpp kelas rangkap model 222 untuk sd kelas 1 dan 2 k13 semester 1 informasi guru berikut ini adalah rpp kelas rangkap model 222 untuk sd kelas 1 dan 2 k13 semester 1 yang bisa anda download secara gratis di website kami.
File guru co id. Ilmu pengetahuan sosial gejala alam 2. Yang bisa digunakan untuk melengkapi administarsi guru yang dapat di unduh secara gratis dengan menekan tombol download. Contoh rpp kelas rangkap senin 05 november 2012. Berikut ini adalah contoh. Contoh rpp kelas rangkap model 221.
Rpp pembelajaran kelas rangkap model 222 rancangan pelaksanaan pembelajaran kelas rangkap rpp pkr sekolah. Ilmu pengetahuan alam sistem pernafasan. Rpp kelas rangkap model 221 kelas 2 dan 3 semester 2. 2 x 35 menit. Contoh rpp kurikulum k13 kelas rangkap. Rencanan pelaksanaan pembelajaran.
Contoh rpp kelas rangkap kelas 3 dan 4 sd k13. Contoh rpp kelas rangkap rancangan pembelajaran kelas rangkap.











