Membuat break even point dalam rupiah. Penghitungan break even point unit.
Break Even Point Bep Komponen Rumus Dan Contoh Guru
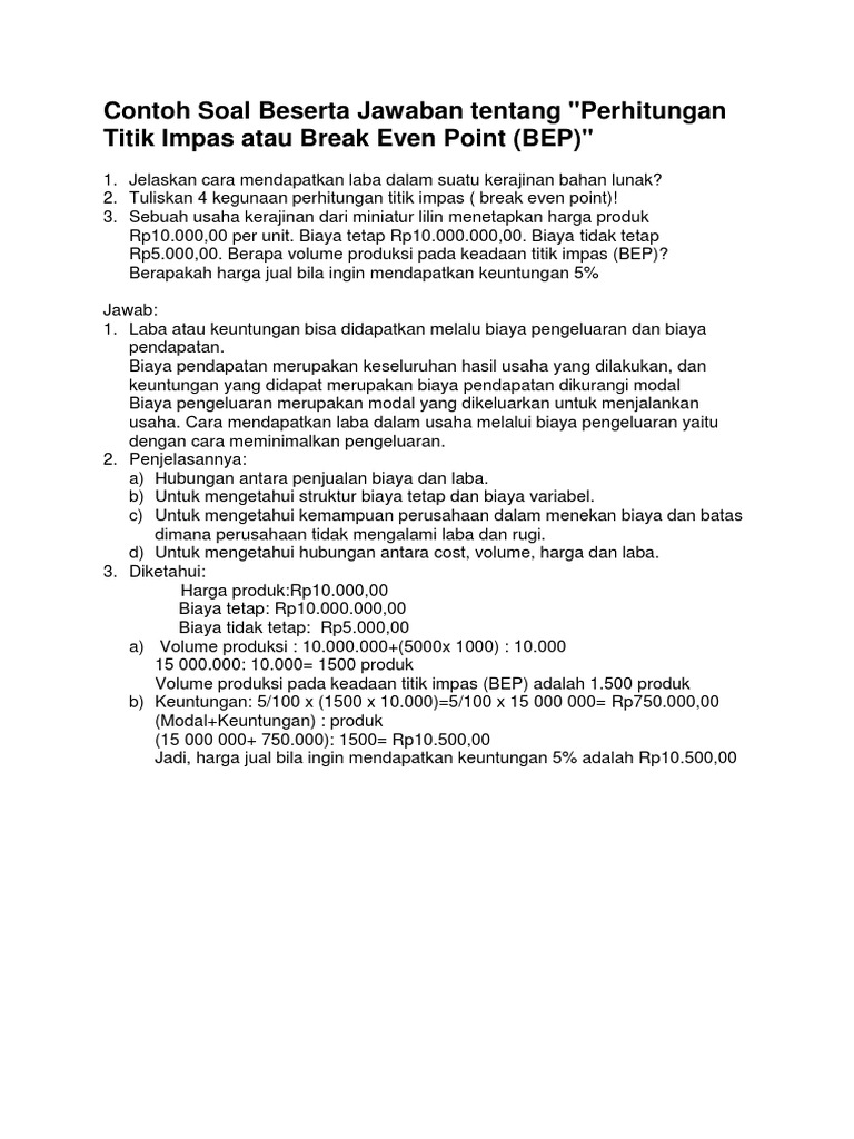
Contoh soal break even point. Kapasitas produksi yang mampu dipakai 100000 unit mesin martil. Rumus bep untuk menghitung berapa unit yang harus dijual agar terjadi break even point. Rp200000 variable cost rp5000 unit harga jual rp. Contoh soal break even point. Break even point diartikan sebagai suatu keadaan atau titik dimana perusahaan dalam kegiatan operasinya tidak memperoleh keuntungan dan tidak mengalami kerugian juga. Break even point yang biasanya dalam bahasa indonesia disebut dengan titik impas ini biasanya membandingkan jumlah.
Perusahaan akan membeli mesin untuk mengganti pekerja jika hal ini dilaksanakan maka biaya tetap akan naik rp 228000 dan biaya variabel akan turun rp 100000 pada penjualan rp 8000000. Break even point bep ialah titik impas di mana posisi jumlah pendapatan dan biaya sama atau seimbang sehingga tidak terdapat keuntungan ataupun kerugian dalam suatu perusahaanbep ini digunakan untuk menganalisis proyeksi sejauh mana banyaknya jumlah unit yang diproduksi atau sebanyak apa uang yang harus diterima untuk mendapatkan titik impas atau kembali modal. Pengertian rumus dan cara menghitung break even point dalam sebuah usaha atau bisnis dipakai suatu ukuran umum dalam menentukan dan menilai keberhasilan manajemen usaha dalam mencapai target penjualan sehingga terjadi keuntungan atau laba maksimal. Fixed cost suatu toko lampu. Berikut ini contoh dari soal bep yakni sebagai berikut. Cara menghitung bep break even point contoh soal mencari bep.
Harga jual persatuan diperkirakan rp. Total variabel cost vc per unit bernilai rp 70 ribu. Contoh penggunaan rumus untuk menghitung break even point. Maka bep per. Bep fc p vc bep 100000000 80000 60000 bep 5000. Atau dengan kata lain break even point bep ialah suatu titik impas antara besarnya jumlah laba dan biaya suatu perusahaan dalam posisi yang sama atau seimbang sehingga dalam prosesnya tidak mendapatkan keuntungan dan kerugian.
Berapa break even point dalam rupiah. Price per unit bernilai rp 90 ribu. Pengertian bep break even point dan cara menghitung bep break even point atau sering disingkat dengan bep adalah suatu titik atau keadaan dimana penjualan dan pengeluaran sama atau suatu kondisi dimana penjualan perusahaan cukup untuk menutupi pengeluaran bisnisnya. Seorang akuntan manajer perusahaan abc bertanggung jawab dalam operasional produksi dan persediaan stok barang ingin mengetahui jumlah sales yang diperlukan untuk menutup biaya operasional sebesar rp50000000 dan ingin mendapat keuntungan sebesar rp20000000 penyabaran biaya yang dikeluarakan untuk operasinya adalah sebagai berikut. Membuat break even point dalam unit. Pengertian break even point komponen dan contoh soal cara menghitung break even point lengkap dalam menilai keberhasilan suatu manajemen perusahaan diukur dengan pencapaian target penjualan hal tersebut berarti terjadinya laba yang maksimal dan untuk mencapai keuntungan maksimum tersebut dipengaruhi oleh tiga faktor pendukung diantaranya seperti biaya produksi harga jual dan banyaknya.
Biaya produksi harga jual dan banyaknya penjualan. Untuk mendapat laba maksimum tersebut dipengaruhi tiga faktor utama yaitu. Total fixed cost fc bernilai rp 100 juta. Gear second memiliki usaha di bidang alat perkakas martil dengan data sebagai berikut. Contoh soal break even point. Total fixed cost harga jual per unit dikurangi variable cost.











