Flotation cost kadangkala disebut sebagai issuance cost adalah biaya total untuk menerbitkan dan menjual suatu sekuritas meliputi biaya pencetakan biaya hukum legal fees dan biaya akunting. Jika pt abg memperoleh laba bersih rp 600000 dan dibayarkan sebagai dividen sebesar rp 200000 dan ditahan sebesar rp 400000.
Apa Yang Dimaksud Dengan Biaya Modal Tertimbang Rata Rata
Contoh soal cost of capital. Biaya modal pengertian biaya modal biaya modal cost of capital adalah biaya riil yang harus dikeluarkan oleh perusahaan untuk memperoleh dana baik yg berasal dari hutang saham preferen saham biasa dan laba ditahan untuk mendanai suatu investasi atau operasi perusahaan. Saham biasa common stocksaham preferen preferred stocklaba ditahan retained earningsdebthutang jangka panjang misalnya obligasi atau pinjaman. Untuk mempertahankan weigted cost of capital sebesar 842 kita harus mempertahankan perimbangan proporsiratio modalnyalaba ditahan adalah merupakan komponen modal sendiri jika digunakan perusahaan komposisi modal sendiri harus dijaga tetap sebesar 77. Contoh soal dan jawaban cost of capital manajemen keuangan. File guru co id. Contoh format administrasi guru lengkap.
Pada umumnya perusahaan akan menggunakan laba ditahan untuk menambah modal baru menerbitkan saham baiasa baru. Berikut ini adalah file tentang contoh soal tentang cost of capital yang bisa bapakibu unduh secara gratis dengan menekan tombol download pada tautan link di bawah ini. Ke d1. Contoh soal opportunity cost of capital. Marginal cost of capital adalah biaya memperoleh rupiah tambahan sebagai modal baru. Oleh dosen pendidikan 2 diposting pada 02012020 02012020.
Pengertian biaya peluang dalam kehidupan tentunya setiap manusia selalu dihadapkan dengan berbagai macam pilihan terutama dalam masalah perekonomian. Jika f adalah flotation cost dalam persen maka rumus untuk biaya saham biasa yang baru adalah. Latihan teori mm tanpa pajak perusahaan a dan b sama persis kecuali bahwa kedua perusahaan a tidak menggunakan hutang dan perusahaan h mempunyai hutang 100jt dengan bunga 10 asumsikan bahwa semua asumsi mm terpenuhi tidak ada pajak. Penentuan besarnya biaya modal ini dimaksudkan untuk mengetahui berapa besarnya biaya riil yang harus dikeluarkan. Yang bisa digunakan untuk melengkapi administarsi guru yang dapat di unduh secara gratis dengan menekan tombol download. Contoh soal tentang cost of capital.
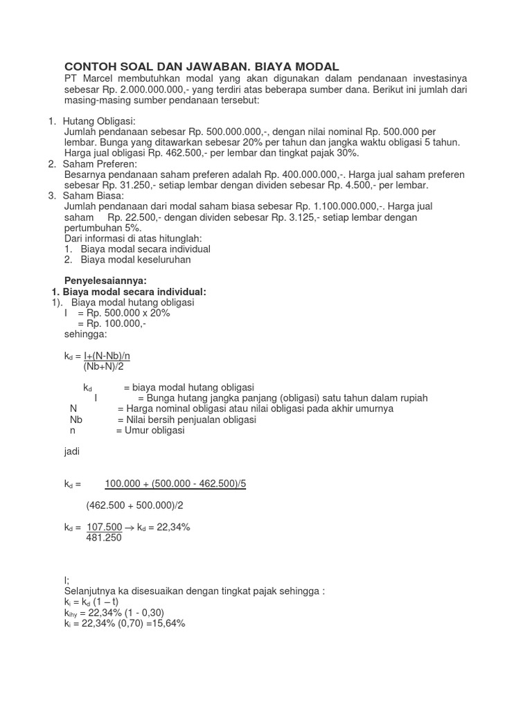
Biaya modal atau cost of capital merepresentasikan biaya yang sebenarnya dikeluarkan oleh perusahaan untuk memperoleh pendanaansumber pendanaannya sendiri dapat berasal dari 2 jenis sumber yaitu. 2000000000 yang terdiri atas beberapa sumber dana. Apa itu biaya modal. Oleh admin diposting pada 31 agustus 2017 31 agustus 2017. Po 1 f g. Pada umumnya marginal cost of capital akan meningkat sejalan dengan meningkatnya penggunaan modal.
Contoh soal dan jawaban. Biaya modal pt marcel membutuhkan modal yang akan digunakan dalam pendanaan investasinya sebesar rp.

















