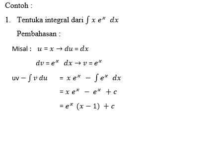
Pada pembahasan ini kita akan berlatih menemukan antiturunan dengan menggunakan integral parsial. V v du.
Cara Menciptakan Suasana Nyaman Di Dalam Kelas Saat Materi
Contoh soal dan pembahasan integral parsial. Demikianlah pembahasan mengenai contoh soal integral tentu tak tentu substitusi parsial dan rumus semoga dengan adanya ulasan tersebut dapat menambah wawasan dan pengetahuan kalian semua terima kasih banyak atas kunjungannya. Setelah sebelumnya kita membahas lengkap materi integral kali ini kita akan membahas contoh soal integral dengan menggunakan sifat sifat integral tentu dan tak tentusimak soal dan pembahasan berikut untuk meningkatkan pemahamanmu mengenai cara penyelesaian soal soal integral. Biasanya cara ini digunakan untuk metode yang ada untuk menyelesaikan soal integral tidak bisa digunakan. Teknik integral parsial dapat diterapkan dalam berbagai macam fungsi dan secara khusus teknik tersebut sangat berguna ketika dijumpai integran yang melibatkan. Hasil dari x sin x dx dengan menggunakan rumus integral parsial adalah. 30 januari 2017 30 januari 2017.
Selain itu di bagian akhir pembahasan ini kita juga akan menggunakan metode tabulasi dalam melakukan proses integral parsial tersebut. Contoh soal integral parsial. Integral merupakan cabang ilmu matematika yang memiliki tingkat kesulitan cukup tinggi. Tentukan hasil dari pembahasan 2. Du 2 sin 2x dx. Contoh soal integral substitusi dan parsial dan pembahasan contoh soal 1.
U x 1 maka du dx dv cos 3x maka v cos 3x dx 13 sin 3x u dv u. Disubstitusi dengan nilai u menjadi. Tentukanlah hasil dari. Rumus integral parsial juga digunakan untuk suatu soal integral yang sangat kompleks. Pelajari rangkuman materi integral dilengkapi dengan contoh soal integral beserta pembahasan jawaban lengkap dari soal un dan sbmptn untuk kelas 11. Rumuscoid pada kesempatan kali ini kita akan membahas mengenai rumus integral parsial dan contoh soal beserta jawabannya dengan pembahasannya.
















