X n s s. Sebagai contoh mari kita uraikan bentuk gelombang kotak square wave.
Deret Dan Transformasi Fourier
Contoh soal deret fourier. Retno fatin amanah 2007121465 3. Ppt deret fourier matematika rekayasa fenny febrina. Jika diketahui n 4. Contoh soal deret fourier dan pembahasannya contoh soal deret fourier dan pembahasannya jumat 16 agustus 2019 0506 informasi lowongan yang anda cari adalah contoh soal deret fourier dan pembahasannyaberikut ini kami telah menyajikan beberapa artikel artikel yang berkaitan dengan contoh soal deret fourier dan pembahasannya. Maka akan diperoleh kesetaraan deret fourier dari gelombang kotak sebagai berikut. Deret fourier by muhamad rizal dirgantara on prezi.
11 deret fourier 1 9 contoh soal transformasi lapace 5 8 transformasi laplace 5 7 transformasi lapalce 4 tabel transformasi lap. Feri febriansyha 2007121458 kelas. 1 1 0 0 n 4 3 n a. Deret fourier untuk sinyal diskrit periodik 2 1 f 2 1 n k f n 2 k s e x n c e c s k k k k j n k n 1 k 0 k k n 1 k 0 j2 kn n k k d d s d z d s s z z s x n n x n n periodadasar k n k n 1 n 0 x ne j2 kn n c n 1 ck s. Dengan n 12345 bilangan real. Deret fourier dalam kehidupan sehari hari banyak kegiatan kita yang melibatkan funsi priodik seperti dalam pengukuran gelombang kelistrikan bunyi dan lainnya.
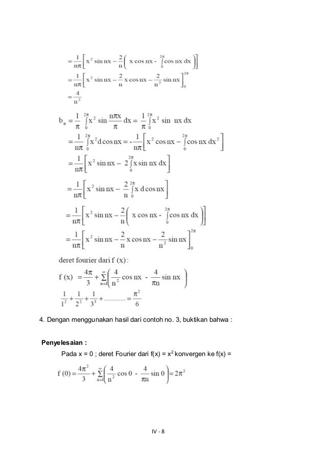
Contoh soal dan pembahasan tentang. 12 transformasi fourier 121 transformasi fourier untuk isyarat kontinyu sebagaimana pada uraian tentang deret fourier fungsi periodis yang memenuhi persamaan 1 dapat dinyatakan dengan superposisi fungsi sinus dan kosinus. Terimakasih telah menyaksikan video kami jangan lupa subscribe videonya. Di bawah ini adalah grafik pendekatan deret fourier hingga n13 beserta gelombang kotak originalnya dengan a 10. Untuk kasus sinyal non periodik kita gunakan formula yang disebut transformasi fourier. Deret dan transformasi fourier majalah 1000guru.
Koefisien deret fourier untuk isyarat kotak diskret dengan 2n115 dan a n10 b n20 dan c n40. Contoh soal 73 tentukan spektrum dari sinyal sinyal di bawah ini. Jika fungsi ini terde nisi pada interval cc2l dengan c suatu konstanta maka fungsi ini dapat disajikan dalam bentuk deret a0 2 x1 n1 an cos nˇx l bn sin nˇx l 521 dengan an 1 l z c2l c fxcos nˇx l dx dan bn 1 l. Deret fourier oleh. Gambar 1 gelombang kotak. Neti okmayanti 2007121460 2.
Dalam matematika fungsi priodik dipelajari jika anda membahas tentang sinus dan cosinusagar menambah pemahaman dalam artikel ini kita akan bahas mengenai fungsi priodik sinus dan cosinus. Misalkan fungsi fx periodik dengan periode 2l. 52 deret fourier fungsi periodik de nisi 521 deret fourier. Admin blog berbagi contoh soal 2019 juga mengumpulkan gambar gambar lainnya terkait contoh soal dan pembahasan deret fourier dibawah ini.

















