Soal integral trigonometri dalam tutorial pembelajaran matematika kita kali kita akan mengangkat tema tentang integral. Sebagai bahan untuk menambah pemahaman sobat idschool mengenai rumus integral trigonometri berikut ini akan diberikan contoh soal integral fungsi trigonometri.
Integral Tak Tentu Pengertian Rumus Sifat Dan Cont
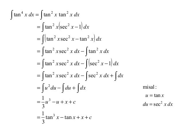
Contoh soal integral trigonometri. Bentuk soal integral trigonometri yang diselesaikan dengan metode integral parsial. Kumpulan soal dan jawaban integral trigonometri. Contoh soal dan pembahasan tentang trigonometri contoh soal dan pembahasan tentang rumus perbandingan sinus cosinus dan tangen contoh soal dan pembahasan tentang nilai nilai sudut istimewa contoh soal dan pembahasan tentang dalil dalil dalam segitiga contoh soal dan pembahasan tentang kali bagi jumlah dan kurang dalam trigonometri contoh soal dan pembahasan tentang penjumlahan sudut. Dimana dalam integral ini kita akan membahas tentang integral trigonometri dengan berbagai latihan soal dan langkah langkah penyelesaiannya. Menampilkan tabel rumus integral trigonometri dan contoh soal menentukan nilai integral trigonometri dilengkapi pembahasan lengkap dan jelas. Posting pada matematika ditag 3 rumus trigonometri 50 soal dan jawaban integral trigonometri bab 6 trigonometri kelas 10 cara mudah belajar integral trigonometri contoh soal integral baku contoh soal integral trigonometri dengan cara substitusi contoh soal trigonometri contoh soal trigonometri brainly contoh soal trigonometri kelas 11.
Contoh soal integral trigonometri 1 pembahasan.















