Berikut ini materi lengkap tentang fungsi mulai dari pengertian sifat sifat relasi dan fungsi fungsi komposisi fungsi invers contoh soal. Misalkan fx x 2 untuk x 0 dan gx 15x untuk x 0.
Fungsi Komposisi Pengertian Rumus Sifat Contoh Soal
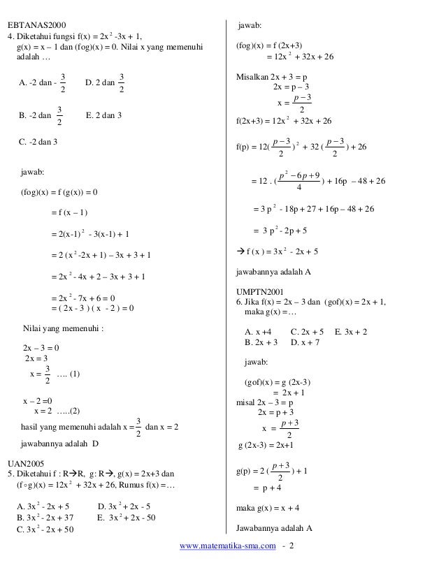
Contoh soal invers fungsi. Tagcontoh soal matematika sma fungsi invers komposisi matematika kelas x pembahasan soal matematika sma rangkuman materi matematika. Ulasan materi matematika kali ini akan membahas rumus fungsi invers dan fungsi komposisi yang akan disertai kumpulan contoh soal fungsi dan invers dan jawaban pembahasannya secara detail. Cukup mudah kan sobat yang penting sobat paham dan bisa menginverskan fungsi dan bisa memasukkan ke rumus mencari invers dari suatu fungsi komposisi. Contoh soal dan pembahasan tentang invers fungsi komposisi. Pada ulasan kali ini kita akan membahas tentang bagaimana cara menghitung invers dan komposisi dalam matematika dengan menggunakan rumus invers yang tepat. Contoh soal untuk memudahka dala memahami invers berikut ini akn kami sajikan berapa contoh soalnya simak pembahasan berikut ini.
Tentukan rumus fungsi invers dari fungsi fx 2x 6. Fungsi komposisi apa itu fungsi komposisi. Selanjutnya contoh soal pembahasan larutan elektrolit non elektrolit. Contoh soal dan pembahasan tentang fungsi invers. Agar kalian dapat memahami lebih jelas mengenai fungsi invers coba kita kerjakan contoh soal berikut ini. Jika f 1 ο g 1 x 1.
Sebelumnya contoh soal pembahasan tatanama persamaan reaksi. Invers fungsi f dinyatakan f 1 seperti di bawah ini. Diskusi pertanyaan pertanyaan ini dapat digunakan sebagai bahan pembelajaran mandiri dalam ujian. Buat latihan sobat hitung berikut contoh soal dan jawaban invers fungsi komposisi. Fungsi komposisi pengertian rumus sifat contoh soal fungsi invers by azzahra rahmah posted on march 11 2020. Tujuan kita membahas tentang fungsi matematika kali.
Contoh soal dan pembahasan. Fungsi komposisi adalah ketika ada suatu dua fungsi lalu digabungkan secara berurutan maka akan terbentuk sebuah fungsi yang baru inilah yang biasa. Invers fungsi f yaitu fungsi yang mengawankan tiap elemen b dengan tepat satu elemen pada a. Contoh soal dan pembahasan tentang fungsi komposisi.

















