Pengertian hukum rumus contoh soal pada pembahasan kali ini kami akan menjelaskan tentang kesetimbangan kimia hukum rumus dan dilengkapi dengan contoh kesetimbangan kimia dengan lengkap dan ringan. Perhatikan reaksi yang digunakan oleh industri sebagai sumber hidrogen berikut.
Panduan Belajar Soal Hots Kimia Zenius Blog
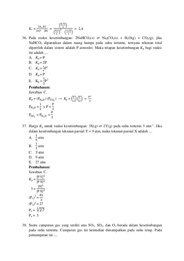
Contoh soal kesetimbangan kimia. Pada suhu tersebut nilai kp adalah. Cog h 2 og co 2 g h 2 g nilai tetapan kesetimbangan kc pada suhu 500 adalah 6. Diketahui pada eksperimen dengan temperatur yang sama konsentrasi awal h 2 i 2 dan hi berturut turut adalah 000623 m 000414 m dan 00224 m. Contoh soal kesetimbangan kimia pilihan ganda dan jawaban beserta pembahasan pada dasarnya istilah kesetimbangan berhubungan dengan apa yang kita sebut keseimbangan kimia akan tetapi keseimbangan ini merupakan keseimbangan mekanikketika suatu reaksi kimia berlangsung dalam sebuah bejana yang mencegah masuk atau keluarnya zat zat yang terlibat dalam reaksi tersebut. Untuk lebih detailnya silakan simak ulasan dibawah ini dengan seksama. 41 50 soal latihan dan pembahasan kesetimbangan kimia.
31 40 contoh soal dan pembahasan kesetimbangan kimia. Berdasarkan azas le chaatelier proses pembuatan amonia n 2 3h 2 2nh 3 9 kal sebaiknya dikerjakan pada. Tagcontoh soal kimia kimia xi semester 1 pembahasan soal kimia reaksi kesetimbangan sebelumnya contoh soal pembahasan periode keempat selanjutnya kisi kisi ujian nasional un sma 2016. 31 40 contoh soal dan pembahasan kesetimbangan kimia. 41 50 soal latihan dan pembahasan kesetimbangan kimia. Contoh soal kesetimbangan kimia pada temperatur 430c tetapan kesetimbangan k c untuk reaksi h 2 g i 2 g 2hig adalah 543.
Hitunglah konsentrasi masing masing spesi pada keadaan setimbang.
















