Limit didalam konsep ilmu matematik biasa digunakan untuk menjelaskan suatu sifat dari suatu fungsi saat agumen telah mendekati pada suatu titik tak terhingga atau sifat dari suatu barisan saat indeks mendekati tak hingga. Contoh soal limit barisan dan penyelesaiannya pdf yang bisa anda unduh secara gratis dengan menekan tombol download yang ada pada tautan dibawah ini.

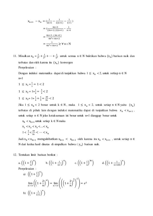
Analisis Real Barisan Bilangan Real Latihan Bagian 2 3
Contoh soal limit barisan dan penyelesaiannya. Perlu diperhatikan bahwa dalam limit barisan konteks analisis real hanya mengacu pada bilangan asli. Limit biasa dipakai pada kalkulus dan cabang lainnya dari analisis matematika untuk mencari turunan dan lanjutan. Pada prakteknya pencapaian tersebut tidak tepat tapi mendekati sedekat dekatnya. Admin dari blog barisan contoh 2019 juga mengumpulkan gambar gambar lainnya terkait contoh soal uji z dan penyelesaiannya dibawah ini. Contoh soal limit soal no1. Rumuscoid setelah sebelumnya kita membahas tentang rumus persamaan nilai mutlak kali ini kita akan membahas materi tentang rumus limit matematika kita akan jabarkan secara detail dan lengkap dari pengertian limit teorema limit rumus beserta contoh soal dan pembahasannya.
Limit matematika adalah suatu konsep dalam ilmu matematik yang biasa digunakan untuk menjelaskan suatu sifat dari suatu fungsi saat agumen telah mendekati pada suatu titik tak terhingga atau sifat dari suatu barisan saat indeks mendekati tak hingga. Konsep limit digunakan dalam berbagai macam bidang dalam kehidupan sehari hari. N 15 b 6 2 10 6 4 u1 a 2. Contoh soal limit barisan dan penyelesaiannya pdf kumpulan dokumen file guru modul guru pembelajar slbtksdsmpsmasmk lengkap 2016. Contoh barisan aritmatika. Limit biasa dipakai dalam kalkulus dan cabang lainnya dari analisis matematika untuk mencari turunan dan kontinyuan.
Pengertian limit dalam ilmu matematika. Suku keberapakah yang nilainya 198. Contoh soal tersebut berdasarkan trend contoh soal psikotes yang beredar di indonesia. Rumus barisan dan deret aritmatika beserta contoh soal dan penyelesaian lengkap aritmatika atau aritmetika berasal dari bahasa yunani αριθμός yang berarti angka yang dulu biasa disebut dengan ilmu hitung yaitu cabang tertua atau pendahulu dario matematika yang mempelajari operasi dasar bilangan. 12 contoh soal limit fungsi matematika written by unknown published at 108 pm categorized as matematika. Un a n 1 b u15 2 15 14 2 144 2 56 58.
Tentukanlah suku ke 15 barisan 2 6 10 14 jawab. Kalkulus lebih menitikberatkan pada proses perhitungan sedangkan analisis real menitikberatkan pada proses analisis definisi dan teoremanya. Bagaimana tips dan trik mengerjakan soal psikotes dengan mudah seperti contoh soal psikotes gambar dan soal psikotes pauli. Diketahui barisan aritmetika 3 8 13 tentukan suku ke 10 dan rumus suku ke n barisan tersebut. Limit barisan merupakan salah satu materi lanjutan analisis real. Inilah pembahasan lengkap terkait contoh soal uji z dan penyelesaiannya.
Kajiannya beda dengan kalkulus. Kali ini kita akan membahas tentang baris dan. Sebagai contoh produksi maksimum dari mesin suatu pabrik dapat dikatakan merupakan limit untuk pencapain hasil. Terdapat barisan dan deret aritmatika.