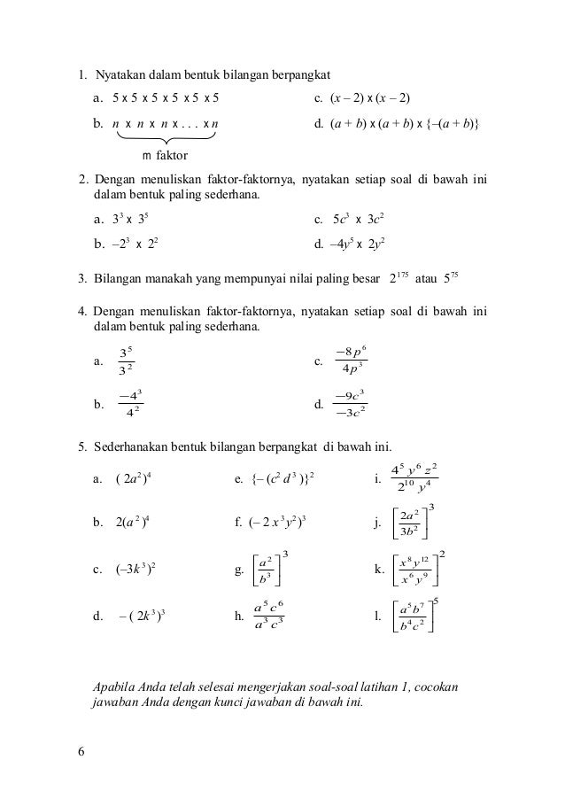
Materi bilangan berpangkat lengkap sifat jenis contoh soal dan operasi hitung bilangan berpangkat yang fungsinya menyederhanakan penulisan. Sederhanakanlah bilangan berpangkat berikut ini.
Bilangan Berpangkat Dan Bentuk Akar Materi Amp Soal Artikel
Contoh soal menyederhanakan bilangan berpangkat. Berikut ini adalah pembahasan tentang bilangan bepangkat yang meliputi sifat sifat bilangan berpangkat operasi bilangan berpangkat contoh soal bilangan berpangkat contoh operasi bilangan berpangkat sifat sifat perpangkatan perkalian bilangan berpangkat pembagian bilangan berpangkat penjumlahan bilangan berpangkat pengurangan bilangan berpangkat perpangkatan bilangan berpangkat. Kamu bisa lho menerapkan salah satu sifat bilangan berpangkat bulat positif pada operasi perkalian yang ada di dalam soal ini. Sifat sifat operasi bilangan berpangkat dan dengan contoh soal serta pembahasannya lengkap. Bilangan eksponen merupakan suatu bentuk pada bilangan perkalian dengan bilangan yang sama kemudian di ulang ulang atau pengertian singkatnya yaitu perkalian yang diulang ulang. Tidak semua bilangan berpangkat bernilai positif beberapa pangkat adalah bilangan bulat negatif. Meskipun soal ini menyediakan bilangan berpangkat bulat negatif jangan terkecoh dan menyulitkan dirimu sendiri dengan menjadikan seluruh pembilang dan penyebutnya ke dalam bentuk pecahan di dalam pecahan.
Sebagaimana yang kita ketahui bahwasannya eksponen atau pangkat biasanya yang tercantum yaitu bilangan asli atau bilangan bulat. Bilangan berpangkat adalah bilangan yang berfungsi untuk menyederhanakan penulisan dan penyebutan suatu bilangan yang memiliki faktor faktor perkalian yang sama. Sebelum kita membahas mengenai contoh soal bilangan berpangkat sebaiknya anda mengerti dulu apa itu pengertian bilangan berpangkat. Selanjutnya coba kerjakan contoh soal dengan menggunakan sifat sifat bilangan berpangkat positif di bawah ini. Contoh soal bilangan berpangkat berbicara mengenai bilangan berpangkat tentu kalian sudah tidak asing lagi karena ini merupakan materi kelanjutan dari materi bilangan bulat yang telah kita bahas sebelumnya. 3x3x3x3x3 atau 7x7x7x7x perkalian bilangan bilangan dengan faktor faktor yang sama seperti ini biasa disebut sebagai perkalian berulang.
Bilangan berpangkat yang dimaksud dengan bilangan berpangkat ialah bilangan penyederhana dari bilangan yang dikalikanada beberapa sifat bilangan pangkat yang harus kamu tahu. Bilangan berpangkat pecahan pengertian sifat rumus contoh soal dipembahasan sebelumnya kita sudah membahas materi mengenai bilangan berpangkat dan bilangan pecahan sekarang kita akan membahas materi bilangan berpangkat pecahan. Bilangan berpangkat positif mempunyai sifat sifat tertentu yang mana bilangan tersebut terdiri atas a b sebagai bilangan real dan m n yang merupakan bilangan bulat positif.


















