Jika ba dan bc maka b paling besar 4. Leave a reply cancel reply.
Contoh Soal Dan Balasan Usbn Pemrograman Dasar Kelas Xii Smk
Contoh soal pseudocode dan penyelesaian. Berikut adalah soal dan pembahsan algoritma dibawah ini. Mungkin teman teman yang suka dengan pemrograman atau memang sudah bergelut dibidangnya tidak asing lagi dengan kata kata tersebut. Masukkan bilangan abc 2. Next struktur penulisan algoritmapseudocode dan pembuatan flowchartruntunanpercabangandan contoh contoh soal dan jawabannya. Maka c paling kecilterkecil. Apa definisi flowchart dan contohnya.
Apa definisi algoritma dan contohnya. Oke langsung aja tugas kali ini adalah seputar algoritma flowchart dan pseudocode. Apa definisi pseudo code dan contohnya. Bowo l bowo online. Contoh soal dan penyelesaian flowchart. Algoritma menentukan predikat lulusan sangat baik untuk nilai 80 100.
Luas persegi panjang adalah panjang dikalikan lebar 4. Jika ab dan ac maka a paling besar 3. Gaji bersih gaji pokok tujangan pajak tunjangan 4 setiap pegawai sama dan tetap setiap bulannya 1000000 pajak 10 dan gaji pokok tunjangan algoritmagajikaryawan menghitung gajih bersih karyawan. Di baca nama karyawan dan gajih pokok bulanannya buatlah algoritma untuk menghitung dan menampilkan gaji bersil karyawan ketentuan. 21 contoh algoritma dan flowchart june 18 2020 june 19 2020 guntoro tips sebelum membuat program aplikasi baik itu web desktop dan mobile yang pertama kali dirancang adalah algoritma dan flowchartnya. Setiap mahasiswa sering mendapatkan tugas dan pembelajaran yang berbeda beda untuk itu mari kita belajar bersama dalam blog saya ini tentang soal dan pembahasan algoritma.
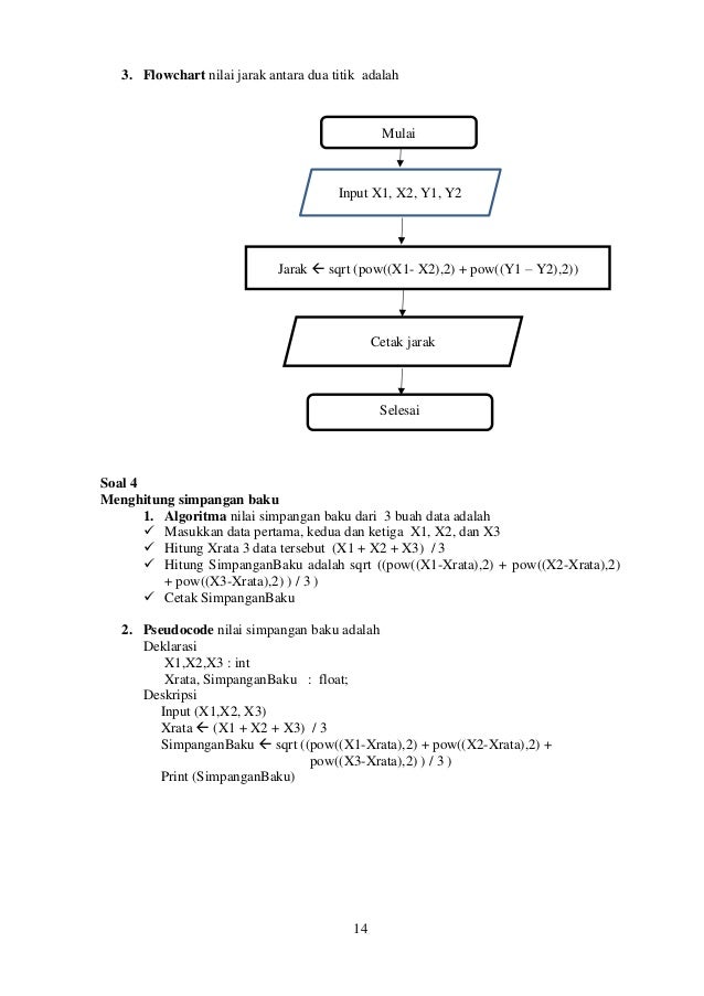
Di postingan contoh pseudocode dan flowchart nya. Contoh soal pseudocode dan penyelesaian oleh admin diposting pada maret 9 2020 juni 5 2020. Contoh soal dan penyelesaian tentang percabangan else if. Buatlah algoritma dengan penyelesaian pseudocode dan pernyataan nested if if bersarang c lengkap contoh. Buatlah algoritma menggunakan flowchart dan pseudocode untuk menginput 3 buah bilangan kemudian tentukan bilangan terbesar terkecil dan rata ratanya. Contoh soal dan pembahasan algoritma by dian baehaki dian flowchart looping dan percabangan pilihan darmansyah3261blog algortima pemrograman i ppt download.
Abuatlah algoritma menggunakan flowchart dan pseudocode untuk menghitung luas persegi panjang algoritma. Tampilkan luas persegi panjang. Artikel contoh pseudocode dan flowchart nya ini dipublish oleh jefry d highwind pada hari jumat 04 oktober 2013semoga artikel ini dapat bermanfaatterimakasih atas kunjungan anda silahkan tinggalkan komentarsudah ada 6 komentar.
















