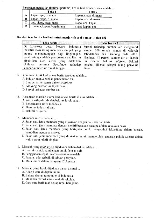
Disajikan kutipan teks berita siswa dapat menentukan isi teks berita tersebut soal 1. Contoh soal materi pokok teks berita kelas viii loading.

Contoh Soal Teks Berita Pilihan Ganda Berbagai Teks Penting
Contoh soal teks berita. Contoh teks berita. Menjawab soal soal yang lain akan terasa lebih mudah bila kalian sering berlatih mengerjakan soal soal. Teks berita 1 kasat lalu lintas polres bogor mengimbau kepada pengendara dari jabodetabek yang hendak berkunjung ke puncak agar berangkat sebelum pukul 1300 menjelang tahun baru. Penyampaian berita ini bisa dilakukan secara lisan yang sering kita dengar dan lihat di televisi dan secara tulisan yang dapat kit abaca di media cetak. Contoh teks berita berita sepertinya telah menjadi makanan sehari hari bagi kita semuaapalagi di era digital dengan segala pernak pernik kemajuan teknologi seperti sekarang ini yang semakin memudahkan kita untuk mengakses berita apapun kapanpun dan dimanapun. Kalimat yang digunakan dalam teks berita adalah.
Pengguna kendaraan diminta mencari jalan alternatif. Imbauan ini sebelumnya sudah. Pengertian teks berita struktur tujuan fungsi ciri dan contoh teks berita adalah teks yang berisikan hal hal yang mengenai peristiwa yang terjadi di dunia yang kemudian disebarkan luaskan melalui media seperti televisi internet situs web radio dan media lainnya. Cermati kutipan teks berita berikut. Untuk lebih jelasnya lagi kami akan membahas materi teks berita mulai dari pengertian struktur tujuan fungsi ciri. Contoh soal teks berita dan jawabannya teks berita adalah teks yang melaporkan kejadian peristiwa atau infomasi mengenai sesuatu yang telah atau sedang terjadi.
Contoh teks berita singkat tentang politik. Hal ini berkaitan dengan rencana penutupan jalur menuju puncak sejak pukul 1300. Hal ini berdasarkan pertimbangan yang menyangkut besarnya nilai biaya pembuatan soal. Soal bahasa indonesia berita 1. Usaha manajemen sriwijaya fc sfc untuk mendapatkan striker budi sudarsono tinggal selangkah lagi. Terjadi kebocoran soal haruskah un diulang.
Cermati kutipan teks berita berikut. Kesepakatan harga sudah dicapai tinggal menunggu tanda tangan kontrak. Ini merupakan berita besar yang langsung ditanggapi oleh menteri pendidikan yaitu anies baswedan. Pendidikan di indonesia kembali bermasalah pada hari rabu 23 april 2015 soal un untuk smp diduga telah bocor. Teks berita 1 menjelang akhir tahun dan menyambut tahun baru kapolres bogor meminta pengguna kendaraan untuk tidak melalui jalur puncak. Semoga contoh soal soal diatas tentang teks berita dapat bermanfaat untuk kalian yang sedang belajar bahasa indonesia.
Berita telah menjadi makanan sehari hari bagi kita contoh dari teks berita singkat seperti berita kecelakaan dan bencana alam.