Contoh soal tumbukan dan pembahasan posted by hidayat at 854 pm. Contoh soal tumbukan lenting sebagian.
Doc Materi Tentang Tumbukan Elastik Mochamad Fauzi
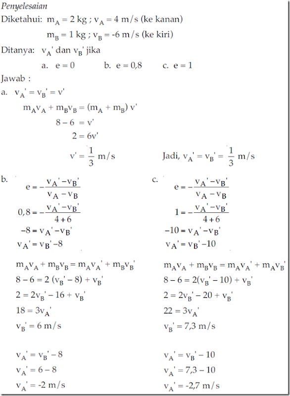
Contoh soal tumbukan lenting sebagian. Pada kesempatan kali ini saya akan membagikan beberapa contoh soal tumbukan lenting sebagian dan pembahasannya lengkap. Lenting sebagian dengan e 08 c. Contoh soal kartu soal hal 3. Student centered learning scl. Selain itu saya juga akan menjelaskan tentang pengertian tumbukan lenting sebagian dan rumus tumbukan lenting sebagian. Tumbukan tidak lenting sama sekali.
Jika koefisien restitusi adalah 07 maka berapa tinggi bola bekel setelah pemantulan ke 5. Sebuah peluru dengan massa 20 gram ditembakkan dengan senapan yang bermassa 2 kg. Contoh soal tumbukan lenting sebagian. Fakta dan konsep dalam pembelajaran fisika. Fisika sman 9 bdl. Benda bermassa 500 gram bergerak dengan kelajuan 10 ms dan benda bermassa 200 gram bergerak dengan kelajuan 12 ms.
Kedua benda bergerak saling mendekati dan bertumbukan. H 5 407 10 0113 m 113 cm. Tidak lenting sama sekali b. Tumbukan lenting sempurna lenting sebagian dan tidak lenting sama sekali. Uji coba alat peraga fisika tumbukan lenting sebagian. Jika setelah bertumbukan.
Contoh soal dan pembahasan jenis jenis tumbukan. Tumbukan lenting sebagian ini adalah jenis tubukan yang memiliki koefisien restitusi bernilai 0 e 1. Contoh kartu soal kisi soal hal 2. Sebuah bola bekel jatuh dari ketinggian 4 meter lalau dia mengalami pemantulan berulang. Evaluasi olah data siswa sman 9 bdl peserta lomba gempita 2012 2013 di lab.
















