Saya yang bertanda tangan di bawah ini nama. Maka tidak ada salahnya kita mengingatkan pihak perusahaan mengenai kenaikan gaji kita karena terkadang pihak perusahaan kurang memperhatikan nilai kontribusi seorang karyawan.
Contoh Surat Perjanjian Kerja Karyawan Lengkap Karyaone
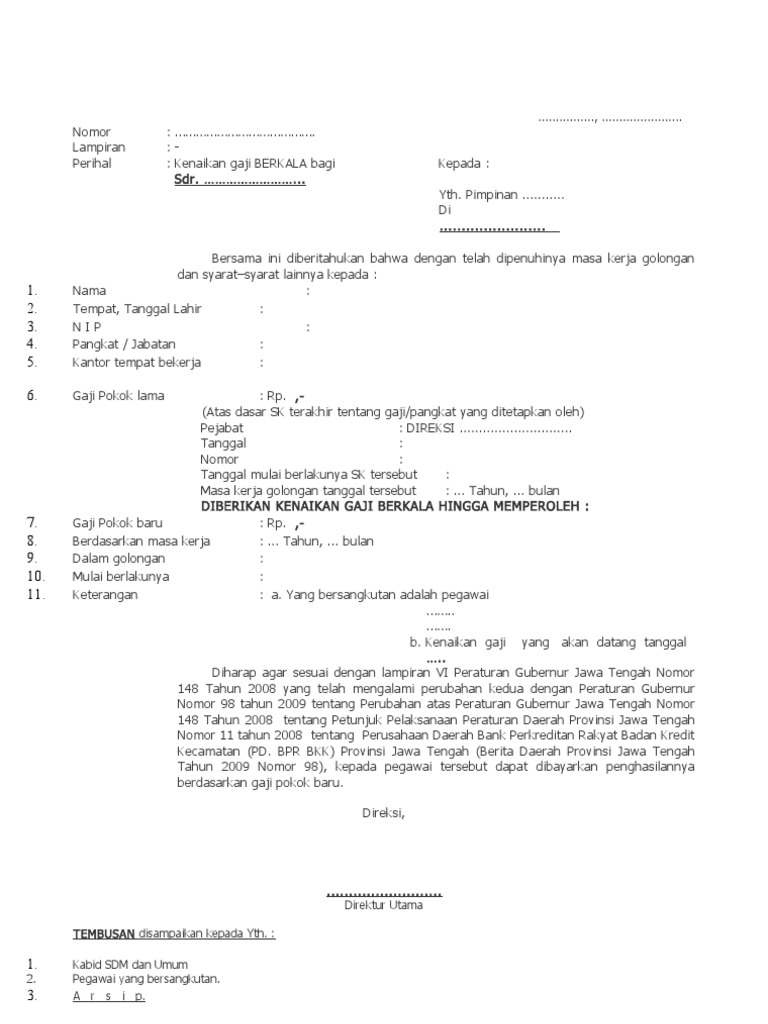
Contoh surat pemberitahuan kenaikan gaji karyawan swasta. Apalagi ketika karyawan tersebut akan mengajukan pinjaman atau kredit ke perusahaan leasing. Seorang karyawan tentu membutuhkan contoh surat keterangan penghasilan atau gaji karyawan ini. Surat pemberitahuan ini disampaikan kepada karyawan supaya bisa. Apalagi ketika karyawan tersebut akan mengajukan pinjaman atau kredit ke perusahaan leasing. Contoh surat pemberitahuan kenaikan gaji karyawan swastasebelum memutuskan untuk meminta kenaikan gaji kita harus mempunyai pertimbangan dasarnya terlebih dahulu agar permintaan kita dikabulkan oleh perusahaan jangan sampai kita belum lama bekerja baru sebulan atau dua bulan malah sudah ingin naik gaji. Agus pambudi alamat.
2 anak dengan surat ini menerangkan bahwa penghasilan per bulan saya adalah. Kumpulan contoh surat lamaran kerja contoh surat keputusan kenaikan gaji karyawan swasta surat dinas resmi contoh surat keputusan kenaikan gaji karyawan swasta surat. Admin mengumpulkan data tentang contoh surat pemberitahuan kenaikan gaji karyawan swasta. 3000000 tiga juta rupiah surat keterangan ini dimaksudkan untuk diberikan kepada pihak yang berwenang di sma widya mandala guna melengkapi persyaratan administrasi. Arif edison lawyer name. 06 draf surat keputusan perubahan gaji karyawan author.
Contoh surat pemberitahuan perusahaan kepada karyawan perusahaan akan memberikan informasi tentang perusahaan kepada karyawan karyawannya. 06 draf surat keputusan perubahan gaji karyawan length. 33 yogyakarta pekerjaan. Contoh surat ini merupakan salah satu syarat yang harus dilengkapi oleh karyawan tersebut dalam mengajukan permohonan pinjaman atau kredit. Karyawan swasta tanggungan. Contoh slip gaji karyawan swasta resmi.
Informasi yang disampaikan itu beragam mulai dari urusan pekerjaan seminar perubahan jam kerja hingga liburan. Berikut informasi sepenuhnya tentang contoh surat pengumuman kenaikan gaji karyawan. Admin blog contoh seputar surat 2019 juga mengumpulkan gambar gambar lainnya terkait contoh surat pengumuman kenaikan gaji karyawan dibawah ini. Karenanya perusahaan akan membuat surat pemberitahuan kepada karyawan.
















