Silahkan simak baik baik contoh surat berikut ini. Contoh surat perjanjian jual beli tanah sawah produktif padi dengan 3 saksi berikut ini adalah contoh tentang contoh surat perjanjian jual beli tanah sawah produktif padi dengan 3 saksi seperti surat contoh yang tertulis di bawah ini.
15 Contoh Surat Keterangan Ahli Waris Yang Resmi Dan Sah
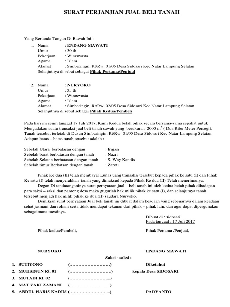
Contoh surat perjanjian jual beli tanah sawah. Berikut ini beberapa hal mengenai serba serbi yang ada di contoh surat perjanjian jual beli tanah yang patut untuk anda ketahui. Contoh surat jual beli tanah sawah contoh surat perjanjian jual beli sawah. Contoh surat jual beli tanah yang benar. Dalam hal ini bertindak atas nama diri pribadi yang selanjutnya disebut pihak pertama. Contoh surat jual beli tanah. Anda harus mulai menulis surat niat dengan terlebih dahulu menyetujui dengan pembeli dan penjual tentang apa yang harus.
Surat perjanjian jual beli sawah yang bertanda tangan dibawah ini. Itulah sebabnya kita harus sangat berhati hati dalam membeli tanahlahan. Yang bertanda tangan dibawah ini saya. Adapun contoh surat jual beli tanah sawah tersebut dapat dilihat di bawah ini. Tanah merupakan aset yang terus bertambah mahal dari tahun ke tahun. Kita harus membuat surat perjanjian yang rigid yang mampu melindungi hak hak kita kedepannya.
Surat perjanjian jual beli tanah sawah. Berikut ini adalah contoh surat perjanjian tanah yang baik. Beberapa contoh surat jual beli tanah dapat anda simak di bawah ini. Jika anda hendak melakukan transaksi jual beli tanah misalnya untuk peralihan tanah waris ataupun tanah sawah. Yang membedakan hanya objeknya yaitu tanah. Baik menjual maupun membeli.
Surat perjanjian jual beli tanah sawah. Kami yang bertanda tangan di bawah ini. Membuat surat keterangan jual beli memang menjadi keharusan jika kita akan melakukan transaksi. Contoh surat jual beli tanah menulis surat jual beli tanah ialah untuk dua atau lebih pihak yang terlibat dalam transaksi tanah untuk menyusun rincian perjanjian dalam pembelian dan penjualan tanah yang juga dikenal sebagai perjanjian pembelian. Untuk selanjutnya disebut pihak ke i penjual. Pada artikel sebelumnya kita telah membahas mengenai surat perjanjian jual beli rumah sederhanapada artikel contoh surat perjanjian jual beli tanah terbaru kali ini kita akan membahas mengenai topik yang hampir sama.
Untuk itu yuk langsung saja lihat contoh surat jual beli tanah yang sudah mimin rangkum dari berbagai sumber. Anton sanjaya nik. Salah satu penyebabnya adalah tidak adanya surat atau dokumen kepemilikan tanah yang baik dan kuat secara hukum. Contoh surat keterangan jual beli tanah ini bertujuan untuk memberikan panduan atau referensi bagi anda dalam melakukan transaksi jual beli tanah.

















