Contoh perjanjian kontrak tanah bermacam macam penggunaannya seperti misalnya terdapat surat tanah dan bangunan maka anda harus membuat surat perjanjian sewa tanah dan bangunan. Agar tidak menyebabkan perselisihan di kemudian hari penting juga untuk membuat surat perjanjian bersama yang ditanda tangani diatas materai.
Danimasmedia Surat Perjanjian Sewa Tanah
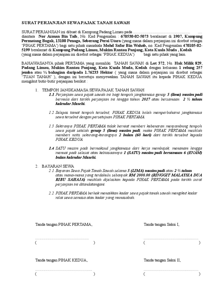
Contoh surat perjanjian sewa tanah yang simple. Download contoh surat perjanjian sewa tanah doc itu tadi penjelasan beserta 1 contoh surat perjanjian sewa tanah pada artikel kali ini kita akan memberikan artikel lain yang membahas contoh surat yang lain. Mencari informasi terkait contoh surat perjanjian sewa tanah yang simple. Contoh surat perjanjian sewa tanah merupakan suatu surat yang tertulis antara pihak penyewa tanah dengan pihak yang menyewakan tanah. Hasil gambar untuk contoh kwitansi sewa. Sejak perjanjian pengalihan itu ditandatangani oleh pihak pertama pihak kedua dan pihak ketiga maka pihak ketiga yang menerima pengalihan itu wajib membayar harga sewa dan memenuhi kewajiban kewajiban lain yang diatur dalam perjanjian ini dan setuju atas perubahan perubahan harga sewa uang jaminan jangka waktu sewa serta persyaratan khusus lainnya baik yang diatur dalam perjanjian ini. Begitupula dengan penyewaan sawah dan lahan pertanian untuk digarap pembuatan surat perjanjian sewa tanah pertanian atau surat perjanjian tanah sawah tentu diperlukan.
Kenali tenancy agreement di malaysia yang anda boleh gunakan untuk rumah sewa anda. We provide image contoh surat perjanjian sewa menyewa tanah di malaysia is comparable because our website give attention to this category users can find their way easily and we show a simple theme to search for images that allow a user to search if your pictures are on our website and want to complain you can record a problem by sending an email can be found. Download contoh surat perjanjian sewa tanah tanpa bangunan. Untuk dapat mendownload contoh surat perjanjian sewa tanah dalam format doc silahkan klik link yang tersedia dibawah ini. Ketika melakukan kegiatan sewa menyewa pertama tama pasti akan dibuat kesepakatan dan perjanjian antara 2 pihak yang terlibat. Download contoh surat perjanjian sewa rumah 2020.
Surat tersebut dibuat untuk bukti jika dirinya menyewa sebidang tanah yang disebutkan dalam jangka waktu tertentu sesuai dengan kesepakatan yang dilakukan.

















