6 hal penting dalam kontrak surat perjanjian sewa rumah. Lamudi pun mengutip beberapa bagian penting dari contoh surat perjanjian sewa rumah yang dapat anda unduh dari link di akhir artikel ini.
Doc Contoh Draft Surat Perjanjian Sewa Kontrak Rumah
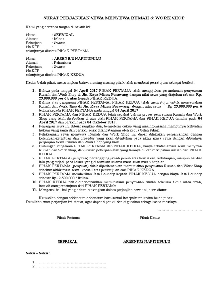
Contoh surat sewa rumah. Terkait perjanjian sewa menyewa rumah maka panduan ini akan mengupas pengertian atau definisi surat perjanjian sewa menyewa rumah contoh surat perjanjian sewa menyewa rumah hingga contoh surat perjanjian sewa rumah sederhana. Tuan rumah akan mengembalikan wang cagaran kepada penyewa pada hari penghujung penyewaan ini tertakluk kepada syarat syarat dimana wang cagaran boleh digunakan oleh tuan rumah bagi menjelaskan sewa rumah yang tertunggak. Jika masih belum memiliki rumah secara pribadi dan memutuskan untuk melakukan kontrak rumah maka diperlukan surat penjanjian. 33 jalan budiman 11 taman desa budiman merujuk kepada perjanjian penyewaan rumah untuk kediaman yang bertarikh 15 jun 2012 dibawah tajuk persetujuan tuan rumah dan penyewa muka surat 10 dan 11 perkara 3 dan 6 iaitu. Anda boleh download dan buat rujukan. Contoh surat perjanjian sewa rumah surat perjanjian sewa rumah sangat diperlukan demi keamanan finansial dan aset anda.
Kredit kepada pemilik asal tuan harith faisal yang berkongsi di facebook beliau. Download contoh surat perjanjian kontrak rumah atau sewa rumah password. Atas rumah tersebut di sepanjang tempoh penyewaan ini. Bagi penyewa atau pemilik rumah yang sedang tercari cari contoh surat perjanjian sewa rumah anda boleh download di sini. To comply with gdpr we will not store any personally identifiable information from you. Mau liat desain desain rumah yang keren cekidot gan.
Semoga contoh surat ini bermanfaat untuk anda. Contoh surat perjanjian kontrak rumah memiliki rumah sebagai tempat tinggal tentu harus memiliki juga surat surat sebagai bukti kepemilikian. Kepentingan pada tuan rumah dan penyewa. Kandungan surat perjanjian adalah berbeza mengikut rumah sewa tersebut namun begitu secara umumnya ianya boleh dikatakan sama dari segi syarat syarat utama dalam perjanjian sewa rumah itu. Surat perjanjian kontrak rumah adalah sebuah surat yang dibutuhkan untuk mengontrak sebuah rumah yang bisa digunakan untuk. Di atas adalah contoh surat perjanjian sewa rumah yang simple dan ringkas.
Contoh surat sewa rumah. Contoh surat perjanjian sewa rumah. Identitas pihak pertama dan pihak kedua identitas lengkap termasuk nama lengkap umur pekerjaan hingga nomor ktp oleh kedua belah pihak. Dalam surat perjanjian sewa rumah anda dapat mencantumkan poin poin perjanjian sewa yang bisa meminimalkan kerugian anda selaku pemilik rumah kontrakan atas tindakan yang tidak bertanggung jawab sang penyewa. Surat perjanjian sewa rumah adalah digunakan untuk memberi perlindungan kepada tuan rumah seperti anda dan juga penyewa rumah sewa tersebut. Berikut adalah contoh surat perjanjian sewa rumah 2018.
Jika difikirkan kalau buat perjanjian mulut lagi lah senang kan dan banyak je tuan rumah yang sewakan rumah guna air liur je. Contoh dokumen atau surat perjanjian kontrak sewa bangunan rumah kedai dan gudang.

















